参考书
C.F.Jeff Wu and M.Hanmada (2009). Experiments: Planning, Analysis, and Parameter Design Optimization (2nd Edition). John Wiley & Sons.
方开泰,刘民千,周永道(2011). 试验设计与建模. 高等教育出版社.
Box, G.E.P., Hunter, J.S. and Hunter, W.G.(2005). Statistics for Experimenters: Design, Innovation, and Discovery(2nd ed), John Wiley & Sons).
- 配对比较试验:区组=2 的随机化区组
- 随机化区组设计
- 拉丁方设计:2区组1处理
- 希腊拉丁方设计
- 平衡不完全区组设计
一、配对比较试验
配对比较可以消除不同样品间的影响
例子:双胞胎,左右眼,左右手,左右身……(实际试验中能配对出现的)
例1:测量污水氯气含量,两种方法(MSI 和 SIB),测定精度上是否有差别?
| sample | MSI | SIB | di |
|---|---|---|---|
| 1 | 0.39 | 0.36 | -0.03 |
| 2 | 0.84 | 1.35 | 0.51 |
| 3 | 1.76 | 2.56 | 0.80 |
| 4 | 3.35 | 3.92 | 0.57 |
| 5 | 1.69 | 5.35 | 0.66 |
| 6 | 7.70 | 8.33 | 0.63 |
| 7 | 10.52 | 10.70 | 0.18 |
| 8 | 10.92 | 10.91 | -0.01 |
二、随机化区组设计
例2:预测钢梁剪切强度,b个区组,每个区组有k个单元,处理的个数N=bk。
| 钢梁 | 处理1 | 处理2 | 处理3 | 处理4 |
|---|---|---|---|---|
| S1/1 | 0.772 | 1.186 | 1.061 | 1.025 |
| S2/1 | 0.744 | 1.151 | 0.992 | 0.905 |
| S3/1 | 0.767 | 1.322 | 1.063 | 0.930 |
| S4/1 | 0.745 | 1.339 | 1.062 | 0.899 |
| S5/1 | 0.725 | 1.200 | 1.065 | 0.871 |
| S1/2 | 0.844 | 1.402 | 1.178 | 1.004 |
| S2/2 | 0.831 | 1.365 | 1.037 | 0.853 |
| S3/2 | 0.867 | 1.537 | 1.086 | 0.858 |
| S4/2 | 0.859 | 1.559 | 1.052 | 0.805 |
三、拉丁方设计
- 拉丁方:由拉丁字母组合成的矩阵,字母每行每列均出现一次
![[C,D,B,A;A,B,D,C;D,C,A,B;B,A,C,D]](https://img-blog.csdnimg.cn/20210525062714134.png?x-oss-process=image/watermark,type_ZmFuZ3poZW5naGVpdGk,shadow_10,text_aHR0cHM6Ly9ibG9nLmNzZG4ubmV0L3dlaXhpbl80NjIwNjU3Mg==,size_16,color_FFFFFF,t_70)
例3:考虑塑料纤维的耐磨性
两个阻滞因素:1实验的四个位置;2四种测量的时间安排
| 1 | 2 | 3 | 4 | |
|---|---|---|---|---|
| 1 | 235 | 236 | 218 | 268 |
| 2 | 251 | 241 | 227 | 229 |
| 3 | 234 | 273 | 274 | 226 |
| 4 | 195 | 270 | 230 | 225 |
- 模型:

- 方差分解:


- 方差分析表

例4:
其中F统计量


- 结果分析
P值
位置:P(F3.6 > 5.37) = 0.039
应用:P(F3.6 > 7.99) = 0.016
P值 < 0.05,说明两区组因子有影响
4种处理方法的差异:P(F3.6 > 25.15) = 0.0008
说明四种处理方法有差异
自由度:k=4,(k-1)(k-2)=6
Tukey多重比较法在0.05水平下的临界值为3.46(计算方法如下)。

分析:绝对值与3.46相比,前4个大,显著;后2个小,不显著。
- 忽略区组影响的方差分析表:没影响才忽略

忽 略 区 组 : P(F3,12 > 6.55) = 0.007
不忽略区组 : P(F3,6 > 25.15) = 0.008
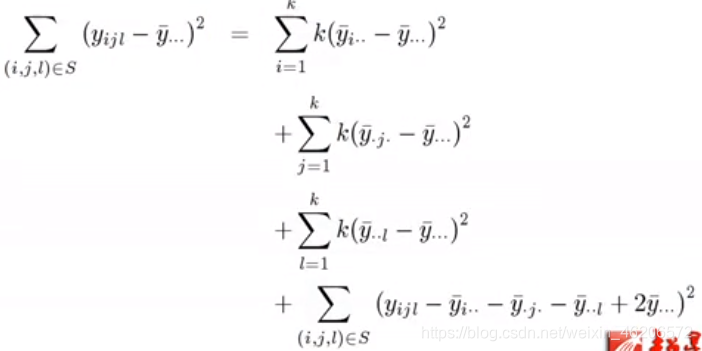
(三)正交(希腊)拉丁方设计:多个区组因子
模型:
方差分析表
超希腊拉丁方:多个正交拉丁方叠加
(五)平衡不完全区组设计BIBD
- 不完全区组的必要条件:处理 t > 区组k,每对处理出现相同的个数
例5:5种轮胎放在需4个轮胎的车上
例6:品尝冰淇淋,味蕾能力有限,只能感觉 k 种
例7:品酒师品10种酒,肚子有限喝不下太多
例8:轮胎耐磨试验:4种轮胎3种材料
相同点:处理两两间配对只出现2次

(k-1)个与其配对
- 模型

- 处理和

- 方差分析表

- 多重比较



续例8:
P(F3.5 > 37.24) = 0.0008
P(F3.5 > 19.73) = 0.0034
在0.05水平下,AB 与 CD 有显著差异
